五大连池市太平乡南泉蒙满村股份经济合作社开荒地中标公告
来源:五大连池市太平乡南泉蒙满村股份经济合作社
时间:2023-08-17
五大连池市太平乡南泉蒙满村股份经济合作社开荒地中标公告
发布时间:2023-08-17
根据《黑龙江省农村集体经济组织条例》规定,结合“四议两公开”规则和程序,经五大连池市太平乡南泉蒙满村股份经济合作社成员代表会议研究通过,现将太平乡南泉蒙满村开荒地中标情况公告如下:
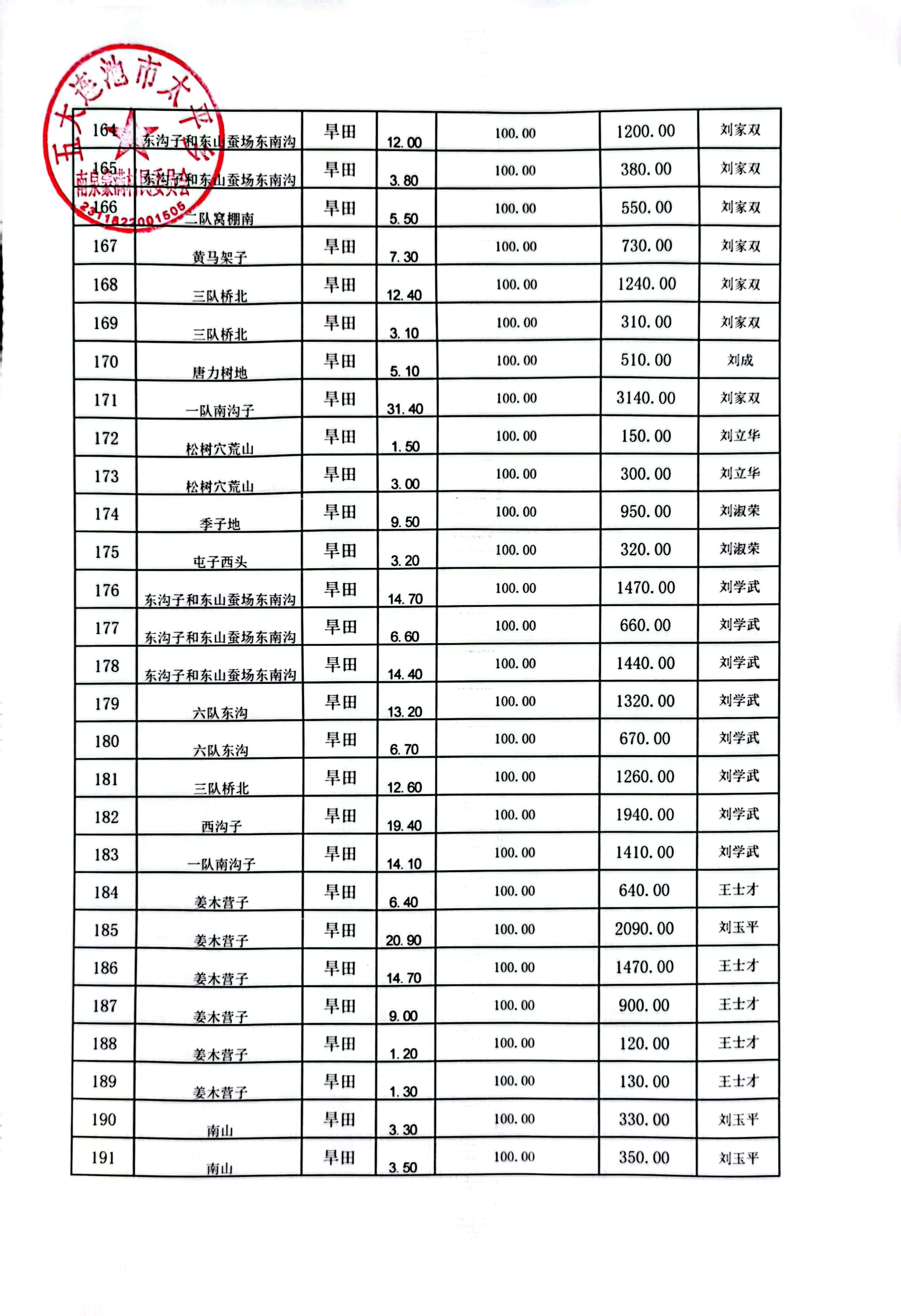
一、开荒地面积7408.1亩,地块数为599块,土地编号:1-599号,每亩100元,承包费总计金额:740810.00。(详见附表)。
二、承包期限:自签订合同之日至2023年12月31日。
三、中标人:详见明细表。
四、承包要求:同等条件下原种植者优先承包。承包费在5月30日前交清。如在2023年5月1日前开荒地本集体经济组织成员无人承包将对外发包。经营方式应满足国家有关法律法规和政策要求,不得改变农业用地用途。
联系方式:18745646756
联系人:王福
五大连池市太平乡南泉蒙满村股份经济合作社
2023年8月17日





















